簡介
腳本計算了發光器件與作為發光層實際輸出的比例。發光層由厚度為零的層表示,并嵌入在design中代表器件結構。運行開始時,腳本會先確定發光層。
模型
該物理模型本質上是Jung和Hwangbo [1]提出的,但分析思路有所不同。光由偶極子源產生,并假設由兩個相等、傳輸方向相反的平面波組成,但在光源位置處相位嚴格相同。
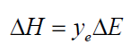
定義右手坐標系x、y、z,且z為薄膜表面法向。假設光從放射層中極薄的子層射出,這避免了薄膜橫向上的所有相位偏移問題。該子層可能包含數個發光點,以平面諧波的形式輸出光,有數種角度分布和某些特定的偏振分布。這樣就解決了基本問題,然后考慮其中一個諧波分量。沿著z軸傳播的出射波分量的電場為ΔE,假設ΔE為x軸正向。出射可以是正向或負向的。ΔH,對應的磁場就確定了,所以ΔE、ΔH 和出射的傳播方向組成了右手系。同時
 (1)
E和H的單位將會歸一化使其等同于列矩陣元素B和C。
在任一出射介質中都沒有入射光,所以計算將從兩個介質的輸出開始然后返回到有源層和其中的發光子層。在子層中,從任一方向計算的場必須與彼此及發射場連續,這將確定了兩個路徑的輸出量。計算分為正向發射和負向發射,然后將其合并。
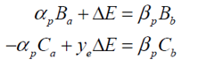
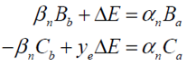
發光子層的導納記為ye,該層的相位厚度為零。多層結構被發光層分為a和b部分,b部分在z軸正方向上。在發光子層中電場用Ba和Bb表示,磁場用Ca和Cb表示,其中B、C和合適的傳播方向形成了常用的右手性質。因此Ca為y軸負方向。在a和b區域分別用乘數α和β,并篩選這些乘數以確保連續性條件。在通常的歸一化情況下,輸出介質中的電場是一致的。在這種情況下,它變為α和β。定義兩種逸出介質的導納為ya和yb。
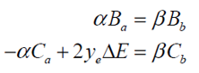
對于正向發射,ΔE沿著x軸,ΔH沿著y軸。連續性條件為
 (2)
后綴p代表正向。負向發射的ΔE沿著x軸,ΔH沿著y軸負軸。連續性條件為
 (3)
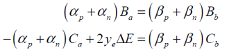
后綴n代表負向。該模型是線性的,因此可以通過聯立B和C的方程(2)和(3)把場結合起來,得
 (4)
可以寫成
 (5)
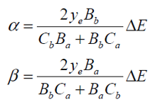
然后解(5)得α和β。
 (6)
輸入功率是正向和負向分量的和,為:
 (7)
(ye一般為實數) 則負向和正向輸出為:
 (8)
 (9)
這些結果可直接從薄膜的矩陣表達式推導得到。[1]中結果是從多光束求和得到的,包含了反射相移、透射系數和反射系數,但(8)和(9)與[1]完全一致。
傾斜
以上結果均假設為法向入射。如果引入傾斜入射,所有y被合適的傾斜導納η替代,可以得到該情況下的結果。離開多層結構的光線將以適當的入射角度傳播,可以通過斯涅耳定律計算得到該角度。實際計算的輻照度是垂直于界面的分量。如果分量在橫向范圍受到限制,那么這些輻照度將轉換為總光束功率,無需進一步校正。
對話框和輸出
一份design文件包含至少一層零厚度層,并指定發光層,必須在腳本運行前打開。如果有不止一層零厚度層,那么最后一層將被選為反射層。遇到問題時請發郵件至support@www.www584bb.com。
圖1給出了開始信息對話框。
圖1. 開始時的說明對話框。
注意關于角度均勻發射的問題。有兩個選項可用,uniform和Lambertian(與cos傳播角度值成正比)。這些設置在腳本代碼里面。發射輸出也可設定為隨波長變化,輸出分別為波長及對應的輻射輸出兩列表格。峰值可設為1.0或100,取決于結果是絕對值還是百分比。
圖2給出了一個測試Design。它并不是一個合適的OLED模型。層4厚度為零并且被自動選擇為發射層。
圖2. 測試design。注意標記層4為發射層。
圖3. 參數對話框給出了入射角度的參數。發射層被正確的識別為層4,該參數不能被編輯。
圖4. 參數對話框顯示波長作為自變量。
圖3和圖4給出了計算參數對話框。Design名字和emissive layer都不可編輯,僅供參考。如果選擇了正確的自變量或是腳本的默認值,則相關參數從design文件中讀取,它們可在對話框中編輯。點擊Distribution按鈕會允許一個發射層波長與輸出關系的表格以供選擇。如果不做選擇則默認使用Equal Energy。
圖4給出了波長相關參數。這些數值將用于說明腳本的運行。結果在圖5、圖6和圖7中給出。圖中的角度均為與發射材料有關。
圖5. 輻射從器件前表面出射,與從發射層直接出射進行對比。
圖6. 輻射從器件后表面出射,與從發射層直接出射進行對比。
圖7. 結果表格。front angle是前向介質中出射的光的傳播角度。rear angle是后向介質中出射的光的傳播角度。theoretical列是從發射材料的輸出分布,這里是常數是因為是均勻輸出。
這個表格顯示了出射介質對應的傳播角度。front angle是前向介質中出射光的傳播角度。rear angle是后向介質中出射光的傳播角度。theoretical列是從輻射材料的輸出分布,這里是常數,是因為發射材料我們設定為均勻輸出。計算參數在上面的表格給出。
參考文獻
1. Jung, Boo-Young and Chang Kwon Hwangbo, Determination of an optimized Alq3 layerthickness in organic light-emitting diodes by using microcavity effects. Journal of theKorean Physical Society, 2006. 48(6): p. 1281-1285.
備注
如果您的Macleod有Function模塊,您可以直接打開該OLED腳本模型。
|