一個膜系的吸收率是一個可以計算的參數,它能與反射率和透射率一起作為二維和三維圖的可選參數列出。此外,還有兩個工具可以處理吸收率,它們隱藏在設計分析部分,即Absorptance Rate和Total Absorptance。這兩個工具到底是做什么的?
吸收率是一種測量膜層損失能量的方法。嚴格地說,它應該是轉化成熱量的東西,但通常只把它作為反射光和透射光中所缺少的東西的一種度量。因為與真正的吸收相比,大多數其他的損耗通常都很小,而且由于它們和吸收一樣,與電場振幅的平方成正比,所以任何差別都很小。不管怎樣,大多數工程師都喜歡對總損失進行衡量。對于Essential Macleod而言,薄膜材料的消光系數就是與吸收相關的參數。它所代表的損失取決于它的測量方法。因此我們寫了一個光學薄膜
1=R+T+A (1)
如果結果以百分比表示,則左側變為100。這就是設計吸收率的計算方法。
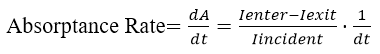
現在讓我們考慮一層厚度為dt的薄層埋在膜層內。每單位面積薄層中的功率損失將是凈入射輻照度(Ienter)和凈出射輻照度(Iexit)之間的差值。這可以通過各種方式進行操作。
將入射到整個涂層上的輻射強度設為Iincidence,薄片的吸收率為dA,勢吸收率為da。則
 (2)
 (3)
然后,膜層中的總吸收率簡單地是(2)在膜厚度上的積分。
圖1顯示了使用具有無吸收低折射率材料(SiO2)和輕微吸收的高折射率材料(TiO2)薄膜的窄帶濾光片的一些結果。電場分布的平方很好地解釋了吸收率變化。勢吸收率幾乎相同,因為反射率為零,但膜層前面部分的吸收降低了墳墓上的Ienter的值,因此膜層后部的吸收率逐漸增加。
圖1.具有吸收高折射率材料和無吸收低折射率材料的窄帶濾光片的計算。由于反射率為零,吸收率和勢吸收率幾乎相同。
|